Cable Minero SHD-GC con Sistema LED Autoalimentado para Control Visual
CABLES PORTÁTILES REDONDOS CON CONDUCTORES DE TIERRA, VERIFICACIÓN DE TIERRA Y CUBIERTA TRANSPARENTE DE TPU
Estructura Avanzada del Cable
El cable minero SHD-GC representa la más alta tecnología en conductividad y seguridad, incorporando:


Conductores Flexibles de Cobre Estañado – Hilos de cobre suaves y flexibles con recubrimiento de estaño que mejoran la durabilidad y conductividad eléctrica en condiciones extremas.
Blindaje Extruido del Conductor – Capa protectora alrededor del conductor que optimiza el rendimiento eléctrico y la seguridad operacional.
Aislamiento de Caucho EPR (Etileno-Propileno) – Aislamiento de caucho de alta calidad en color natural, que ofrece flexibilidad excepcional y resistencia superior al calor y agentes químicos característicos de la minería chilena.
Blindaje Extruido del Aislamiento – Capa adicional sobre el aislamiento que perfecciona el blindaje eléctrico y aumenta la seguridad.
Blindaje de Trenza de Cobre y Textil – Combinación de cobre estañado y trenza textil de color que rodea cada conductor de fase, proporcionando protección adicional y reducción de interferencias electromagnéticas.
Conductor Flexible de Cobre Desnudo – Hebras de cobre estañado, suaves y sin recubrimiento, que garantizan un excelente rendimiento eléctrico y flexibilidad en las condiciones adversas de la gran minería.
Conductor de Verificación de Tierra XLP Amarillo – Conductor de tierra con aislamiento de polietileno reticulado de color amarillo para fácil identificación y durabilidad extraordinaria.
Cobre Estañado Trenzado Sin Aislamiento – Múltiples hebras de alambre de cobre estañado sin aislamiento, utilizadas para conexión a tierra eficiente.
Trenza Unificada de Conexión a Tierra – Trenza de cobre estañado que conecta los blindajes de los conductores de fase y los dispositivos LED para una mejor puesta a tierra.
Indicadores LED Autoalimentados – Sistema de luces LED integradas que funcionan como indicadores visuales para monitorear el estado del cable sin necesidad de alimentación externa.
Capa Circular Interna de PVC – Capa de PVC transparente y flexible que ayuda a mantener la forma redonda del cable.
Cinta Mylar – Capa protectora delgada que añade aislamiento y protege contra interferencias.
Cubierta Exterior Transparente de TPU – Revestimiento de poliuretano termoplástico duradero, flexible y transparente que proporciona protección general y visibilidad de los indicadores LED.
Propósito y Aplicación en la Minería Chilena
Diseñado específicamente para alimentar equipos mineros en las exigentes operaciones de la gran minería chilena, tanto en proyectos de la cordillera andina como en las zonas desérticas del norte, asegurando un rendimiento estable y confiable bajo condiciones extremas.
Características Técnicas Destacadas
Alta fiabilidad – Fabricado para un rendimiento duradero incluso en las condiciones más adversas de las operaciones mineras chilenas.
Baja absorción de humedad – Resiste eficazmente el agua y la humedad, factor crítico en operaciones con variaciones extremas de temperatura.
Conductores flexibles – Facilidad de manipulación e instalación en terrenos irregulares.
Flexibilidad superior – Se adapta perfectamente al movimiento y flexión constantes en operaciones mineras de alto dinamismo.
Resistencia a ácidos y álcalis – Soporta la exposición a productos químicos agresivos comúnmente utilizados en procesos mineros.
Resistencia a altas temperaturas – Opera con seguridad bajo el sol intenso del desierto de Atacama y en condiciones de calor extremo.
Resistencia al impacto y abrasión – Soporta usos rudos y desgaste intenso propios de las operaciones mineras a gran escala.
Resistencia a la humedad y llamas – Reduce riesgos de daños por agua y peligros de incendio, crucial para la seguridad operacional.
Gran resistencia a la tracción – Resiste fuerzas de estiramiento y tracción en terrenos difíciles.
Resistencia a la luz solar y aceites – Rendimiento óptimo en condiciones exteriores e industriales, ideal para la intensa radiación UV del norte de Chile.
Resistencia a la compresión – Mantiene su forma bajo presión de equipos pesados.
Resistencia al ozono y desgarro – Protección contra daños ambientales en altura.
Seguridad mejorada – Diseñado para mantener protegidos a los trabajadores en todo momento.
Características Especiales para Operaciones Mineras Chilenas
Cubierta TPU Extra Resistente – Proporciona máxima durabilidad y seguridad para los operadores, haciéndolo adecuado tanto para minería subterránea como a rajo abierto, adaptándose perfectamente a las diversas operaciones mineras del país.
Compuesto TPU Transparente – Permite visibilidad clara de los indicadores LED integrados, facilitando la inspección visual rápida sin interrumpir operaciones.
Indicadores LED Autoalimentados – Innovación clave que:
Ayuda a prevenir daños al cable alertando a los trabajadores sobre su ubicación en condiciones de baja visibilidad.
Reduce el riesgo de interrupciones eléctricas causadas por equipos en movimiento, minimizando costosos tiempos de inactividad.
Mejora la seguridad en entornos oscuros haciendo que el cable sea fácilmente visible, crucial en operaciones nocturnas y subterráneas.
No requiere cableado adicional al conectar enchufes o juntas, simplificando la instalación y mantenimiento.
Material TPU de Alta Claridad – Previene la decoloración incluso bajo la intensa radiación solar del norte de Chile, manteniendo la visibilidad alta durante toda la vida útil del cable.
Visibilidad en Oscuridad
Eficiencia máxima para monitorear cables SHD-GC en condiciones de poca luz, característica esencial para turnos nocturnos y operaciones subterráneas en las minas chilenas.
Cumplimiento de Normas
Cumple con las especificaciones ICEA S-75-381 y está certificado para uso en operaciones mineras chilenas, cumpliendo con las estrictas normativas de seguridad del Servicio Nacional de Geología y Minería (SERNAGEOMIN).
Opciones de Voltaje
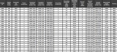
Disponible en 2 kV, 5 kV, 8 kV, 15 kV y 25 kV, adaptándose a las diversas necesidades energéticas de los proyectos mineros chilenos.
Clasificaciones de Temperatura
Operación normal: Hasta 90°C
Condiciones de sobrecarga: Hasta 130°C
Condiciones de cortocircuito: Hasta 250°C
Rangos ideales para soportar tanto el frío nocturno como el calor diurno extremo característicos del norte de Chile.
Tipo de Instalación
Diseñado para colocación visible, sobre el suelo, facilitando la inspección y mantenimiento preventivo.
Composición de Materiales
Aislamiento: Caucho de Etileno-Propileno (EPR)
Cubierta exterior: Poliuretano Termoplástico (TPU)
Materiales seleccionados específicamente para resistir la radiación UV intensa, amplias variaciones de temperatura y condiciones abrasivas de la minería chilena.
Información para Pedidos
Para realizar un pedido, especifique:
Tipo de cable (SHD-GC Redondo)
Clasificación de voltaje
Tamaño del conductor
Indicadores LED autoalimentados
Tipo de cubierta TPU
Longitud de cable requerida






¿Por qué elegir el Cable Minero SHD-GC con Indicadores LED?
Diseñado específicamente para entornos mineros exigentes como los de Chile, este cable SHD-GC ofrece durabilidad, flexibilidad y seguridad excepcionales. Con sus conductores de cobre estañado, aislamiento EPR y cubierta TPU extra resistente, proporciona resistencia superior a la humedad, productos químicos, abrasión y temperaturas extremas características de las operaciones mineras desde Arica hasta la Región de O'Higgins.
Los indicadores LED autoalimentados integrados mejoran significativamente la visibilidad en condiciones de oscuridad, previniendo daños accidentales y asegurando una operación continua sin interrupciones costosas. Con voltajes desde 2 kV hasta 25 kV, este cable es ideal para aplicaciones mineras tanto subterráneas como a rajo abierto, ofreciendo máxima confiabilidad y protección para equipos mineros y personal, contribuyendo directamente a la productividad y seguridad de las operaciones de la gran minería chilena.
La inversión en estos cables representa un compromiso con la excelencia operativa, la seguridad del personal y la sostenibilidad de las operaciones mineras, elementos fundamentales para el éxito en la industria minera nacional.




Cable Minero SHD-GC con LED Autoalimentado: Máxima Seguridad y Visibilidad para la Gran Minería en Chile y Perú
Descubra el cable minero SHD-GC con indicadores LED autoalimentados y cubierta transparente de TPU, ideal para operaciones mineras en Chile y Perú. Ofrece alta durabilidad, visibilidad nocturna, resistencia a temperaturas extremas y cumplimiento con normas SERNAGEOMIN e ICEA. Perfecto para minería subterránea y a cielo abierto.
